网站首页
关于我们
ZIC介绍
机构资质
职能介绍
信息中心
ZIC新闻
通知通告
行业动态
公开文件
视频中心
服务项目
认证业务
认证流程
证书样本
认证证书查询
认证培训
内审员培训
企业管理培训
培训证书查询
内审核员证书查询
招聘及加盟
办公人员
审核人员
合作加盟
联系方式
联系方式
在线申请
客户留言
信息中心
ZIC新闻
通知通告
行业动态
公开文件
视频中心
服务项目
ISO9001
质量管理体系
ISO14001
环境管理体系
OHSAS18001
职业健康安全管理体系
GB/T50430
工程建设施工企业质量管理规范
您现在的位置:
首页
撤销通知
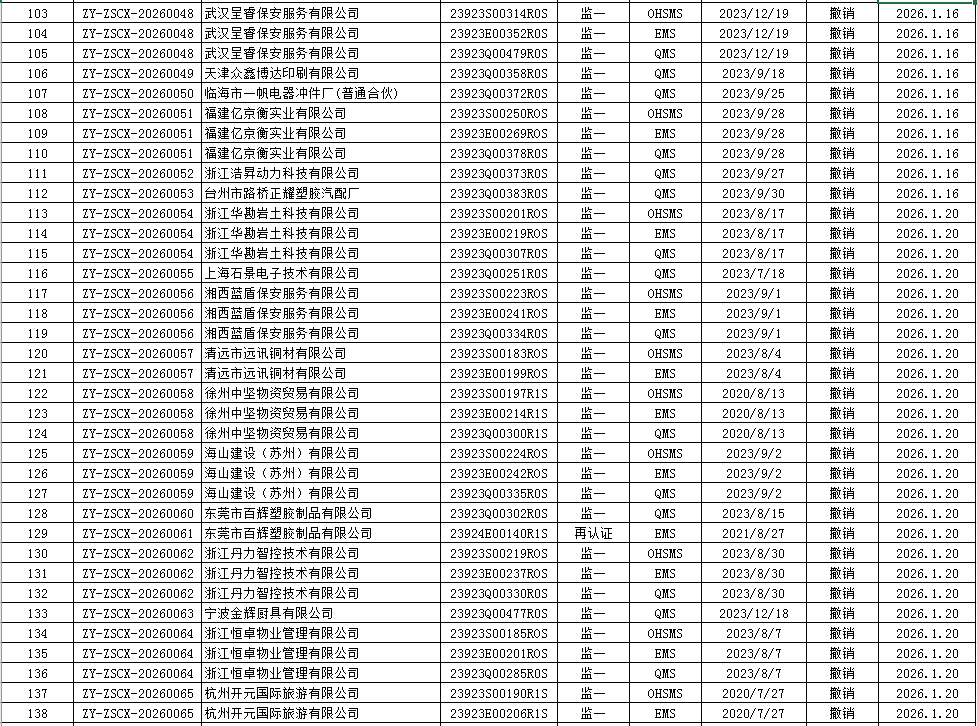
2026年1月份认证证书撤销名单
2026年1月份认证证书撤销名单
发表日期:2026-02-05
上一篇:
2025年12月份认证证书撤销名单
下一篇:
2026年2月份认证证书撤销名单
网站首页
关于我们
信息中心
服务项目
认证培训
招聘及加盟
联系方式
信息中心
服务项目
认证培训
招聘及加盟
联系方式
中元国际认证(深圳)有限公司 版权所有
通讯地址:
深圳市光明区马田街道合水口社区松白路4545号A栋1502
备案号:
鲁ICP备11006396号-4